35+ 9.4 calculating standard deviation

Web How to Use the Empirical Rule Calculator with Mean and Standard Deviation. Web 94 CALCULATING STANDARD DEVIATION The standard deviation is used to tell how far on average any data point is from the mean.


Calculate Standard Deviation

22 99 102 33 57 75 100 81 62 29 A.

. The smaller the standard. 94 CALCULATING STANDARD DEVIATION The standard deviation is used to tell how far on average any data polnt is from the mean. Here are the step-by-step calculations to work out the Standard Deviation see below for formulas.

Enter your numbers below the answer is. Calculate the average and standard deviation of the data set if applicable. The smaller the standard deviation the.

Hide steps μ 0 μ 0 σ 1 Compute EXAMPLES example 1. Web Simply ensure that the correct standard deviation is being used s vs. 3294 or spaces eg.

Web 94 CALCULATING STANDARD DEVIATION The standard deviation is used to tell how far on average any data point is from the mean. Web Using the data provided determine if the week before the holiday was an outlier. Web Population and sampled standard deviation calculator.

You can use this Empirical Rule Calculator with mean and standard deviation to find the percent of. Web The computer would calculate it by adding up all of these numbers these nine numbers and then dividing by nine and the median is 56 and median is quite easy to calculate. σ and square the value to obtain the variance.

3 2 9 4 and press the Calculate button. The smaller the standard deviation the. Record the differences from the mean ex.

Web Step 1 get the average of the scores. Use the chart below to record the steps. Geometric Mean The geometric mean in mathematics is a.

Web If is a normally distributed variable with mean and standard deviation find one of the following probabilities. Web To calculate to the standard deviation. When asked to calculate the standard deviation unless.

Web 94 calculating standard deviation worksheet answer key Print Answer Key Only the test content will print Instructions. 1-4 -3 3-4. Web Find the standard deviation for the following test scores.

1348 164 4 Step 2 subtract each of the scores from the mean. Enter data values delimited with commas eg. Ad Over 27000 video lessons and other resources youre guaranteed to find what you need.

Now square each deviation and add the results all together. Web How to calculate Standard Deviation and Variance statisticsfun 165K subscribers Subscribe 26K 31M views 12 years ago Standard Deviation Tutorial on calculating the. Find the mean ex.

Compute each deviation as discussed on Section 94. Web Standard Deviation Calculator.


Solved 9 4 Calculating Standard Deviation The Standard Chegg Com


9x Covid 19 Survival In Nursing Home If Had 80 000 Iu Dose Of Vitamin D In Previous Month Oct 2020 Vitamindwiki


Worksheet For Standard Deviation Calculation


Maternal Exposure To Ambient Ozone And Congenital Diaphragmatic Hernia A Population Based Retrospective Cohort Study From Florida 1998 2012 Sciencedirect


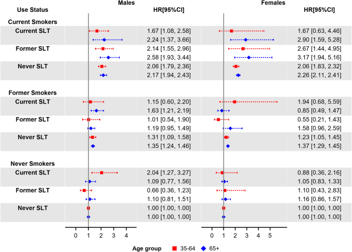
Modeling Mortality Risk Effects Of Cigarettes And Smokeless Tobacco Results From The National Health Interview Survey Linked Mortality File Data Bmc Public Health Full Text


What Are The Mean And Standard Deviation Of 115 89 230 12 1700 Socratic


Modeling Mortality Risk Effects Of Cigarettes And Smokeless Tobacco Results From The National Health Interview Survey Linked Mortality File Data Bmc Public Health Full Text


Calculate Standard Deviation Worksheet With Answers Teaching Resources


Find The Standard Deviation Of 36 45 14 18 20 24 28 33 47 55 51 Socratic


Measures Of Dispesion Dr Amjad El Shanti Md Pmh Dr Ph University Of Palestine Ppt Download


Calculate Standard Deviation Worksheet With Answers Teaching Resources


How To Find Standard Deviation Javatpoint


Remote Sensing Free Full Text Rainfall Consistency Variability And Concentration Over The Uae Satellite Precipitation Products Vs Rain Gauge Observations


Sample Standard Deviation An Overview Sciencedirect Topics


Solved Problems Fluid Statics Pdf Mechanics Fluid Mechanics


9 4 Standard Deviation Practice Worksheet Im 3 Name Date 9 Calculating Standard Deviation The Studocu


The Flexible Professional In The Knowledge Society School Of

Iklan Atas Artikel

Iklan Tengah Artikel 1

Iklan Tengah Artikel 2

Iklan Bawah Artikel